Texas Instruments SN65MLVD204B Line Driver/Receiver
Texas Instruments SN65MLVD204B Line Drivers/Receivers are multipoint-low-voltage differential (M-LVDS) line drivers and receivers optimized to operate at signaling rates up to 100Mbps. These devices have robust 3.3V drivers and receivers in the standard SOIC footprint for demanding industrial applications. The bus pins are robust to ESD events, with high levels of protection to the human-body model and IEC contact discharge specifications. These devices combine a differential driver and a differential receiver (transceiver), which operate from a single 3.3V supply. The Texas Instruments SN65MLVD204B has enhancements over similar devices. Improved features include a controlled slew rate on the driver output to help minimize reflections from unterminated stubs, resulting in better signal integrity. The same footprint definition was maintained, allowing for an easy drop-in replacement for a system performance upgrade.Features
- Compatible with the M-LVDS standard TIA/EIA-899 for multipoint data interchange
- Low-voltage differential 30Ω to 55Ω line drivers and receivers for signaling rates up to 100Mbps, clock frequencies up to 50MHz
- Type-2 receiver provides an offset threshold to detect open-circuit and idle-bus conditions
- Bus I/O protection
- >±8kV HBM
- >±8kV IEC 61000-4-2 contact discharge
- Controlled driver output voltage transition times for improved signal quality
- -1V to 3.4V Common-Mode voltage range allows data transfer with 2V of ground noise
- Bus pins have high impedance when disabled or VCC ≤ 1.5V
- 200Mbps device available (SN65MLVD206B)
- Improved alternatives to SN65MLVD204A
Applications
- Low-power, high-speed, and short-reach alternative to TIA/EIA-485
- Backplane or cabled multipoint data and clock transmission
- Cellular base stations
- Central office switches
- Network switches and routers
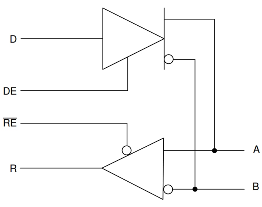
Functional Block Diagram
Đã phát hành: 2017-07-25
| Đã cập nhật: 2022-06-07
