Texas Instruments TLVx171/TLVx171-Q1 36V General Purpose Op Amps
Texas Instruments TLVx171/TLVx171-Q1 36V General Purpose Operational Amplifiers provide a low-power option for cost-conscious industrial and personal electronics systems. These devices are ideal where an EMI-hardened, low-noise, single-supply operational amplifier that operates on supplies ranging from 2.7V (±1.35V) to 36V (±18V) is required. The single-channel TLV171/TLV171-Q1, dual-channel TLV2171, and quad-channel TLV4171 provide low offset, drift, quiescent current balanced with high bandwidth for the power. These devices are available in micro packages for space-constrained systems and feature identical specifications for maximum design flexibility. Unlike most op amps, which are specified at only one supply voltage, the TLVx171/TLVx171-Q1 family is specified from 2.7V to 36V. The Texas Instruments TLVx171-Q1 devices are AEC-Q100 qualified for automotive applications.Features
- Supply range (2.7V to 36V, ±1.35V to ±18V)
- 16nV/√Hz low noise
- ±1µV/°C (typical) low offset drift
- EMI-hardened with RFI-filtered inputs
- The input range includes the negative supply
- Unity-gain stable (200pF capacitive load)
- Rail-to-rail output
- 3MHz gain bandwidth
- Low quiescent current (525µA per amplifier)
- 105dB (typical) high common-mode rejection
- 10pA low bias current
Applications
- Transducers
- Currency counters
- AC-DC converters
- Power modules
- Inverters
- Test equipment
- Battery-powered instruments
- TFT-LCD drive circuits
- Active filters
Datasheets
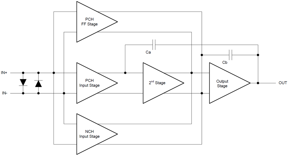
Functional Block Diagram
Đã phát hành: 2017-04-26
| Đã cập nhật: 2022-04-26
